余弦函数y1=cosx/4与y2=sin4x/5的交点计算
1、两函数y1=cosx/4与y2=sin4x/5在同一坐标下的示意图:

2、三角函数是角的函数;毋队末哎它们在研究三角形和建模周期现象和许多其他应用中是很重要的。三角函数通常定义为包含这个角的直角三角形的两个边的比率,也可以等价的定义为单位圆上的各种线段的长度。
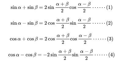
3、交点通式,联立方程,用和差化积sinθ−s坡纠课柩inφ=2cos(θ+φ)/2sin(θ−φ)/2公式求交点。

4、解析y1=cosx/4与y2=sin4x/5交点通式。

5、和差化积公式,包括正弦、余弦和正切的和差化积公式,是三角函数中的一组恒等式。

6、交点解析表,解析两函数y1=cosx/4与y2=sin4x/5部分交点横坐标,如下表。

7、函数交点,两函数y1=cosx/4与y2=sin4x/5在部分周期内,交点坐标如下:

8、y1=cosx/4与y2=sin4x/5,所有交点的列举如下所示。
