行政职业能力测验—数量关系—数学运算题型
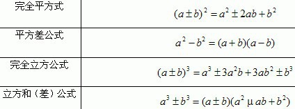
1、计算问题☆☆☆☆☆1.基础知识:基本计算公式、等差数列、等比数列、运算方法及法则(尾数法和奇偶性)注意:两个数的差为奇数,那么两个数的和也一定为奇数。


2、行程问题☆☆☆☆☆1.基础知识:①基本公式②相遇和追及问题③流水行船问题④牛吃草问题⑤钟表问题



3、几何问题☆☆☆☆☆1.基础知识:①基本知识点圆锥——体积——1/3xSxH②求阴影图形的面积化不规则图形为规则图形③常用方法割、补



4、容斥问题☆☆☆☆1.懋鲕壶迎基础知识:①基本概念包含与排斥的计数原理②常见题型【1】二者容斥【2】三者容斥关键:保证交叠的层数为1层【3】容斥极值问题求N个集合的公共部分的最小值时二者:Ymin=A+B—I三者:Ymin=A+B+C—2IN者:Ymin=A+B+C+D。。。—(N—1)I③常用方法【1】图形法【2】公式法关键是保证交叠的层数是1层。

5、每天保持积极向上的心态,每天保持付诸行动的状态。
