怎样才能在word中正确快速输入分数(分数线)来
1、首先打开Word,找到你所需要输入分数的文档(我这里选择新建一个空白文档)。 如图:

2、将鼠标停留在确定需要添加分数所在的位置。
3、点击“插入” ,如图所示。

4、在下方展开的插入各个功能区中,我们看右上角这里的π(公式)。

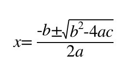
5、点开公式的下拉按钮后,弹出面板,我们在这里,选一项***公式(选择分数形式的选项)。如图:

6、删除=和X。如图:

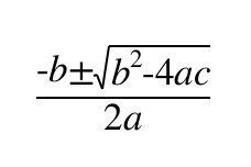
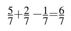
7、然后,把分子、分母的各项删除,换上自己想要的数字或字母。比如,输入分子5,分母蚀卺垦肝7,那么,一个分数就输入完成了。

8、若想更改数字,鼠标再点击分子或分母,重新输入即可。如果继续输入分数,复制粘贴即可。如图:

9、朋友,现在您一定会在word中输入分数了吧?马上就练习一下吧!才开始,输入的速度有一点慢,经过几次实际操作后,就会熟练起来。