如何利用Edraw Max设计软件制作PERT图过程图
1、第一步,打开Edraw Max设计软件,按照下面步骤操作
“新建--->项目管理--->PERT 图”,如下图所示:

2、第二步,点击“创建”图标按钮,创建空白的画布,查看PERT图形状,如下图所示:

3、第三步,在“PERT图形状”找到“高光任务”,拖曳九个到画布上,如下图所示:

4、第四步,拖曳直线连接线到画布上,连接不同的“高光任务”,如下图所示:

5、第五步,在每个“高光任务”上添加内容,并修改形状的填充色,如下图所示:

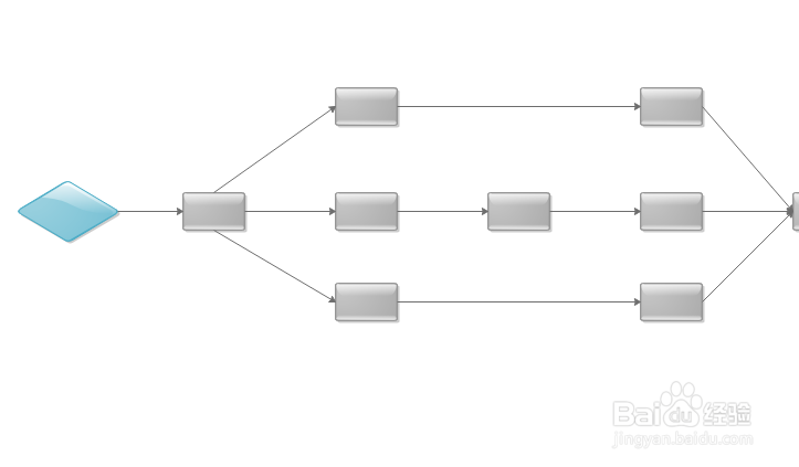
6、第六步,添加高光开始/结束,并在开始和结束位置添加,利用连接线连接,如下图所示:

阅读量:169
阅读量:27
阅读量:139
阅读量:157
阅读量:196