如何matlab绘制jackson算子逼近函数曲线
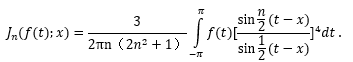
jackson算子和bernstein函数一样能够逼近周期为2π函数,其算子多项式采用的sin函数.如何在matlab上绘制jackson逼近函数?

函数绘制
1、首先,定义一个数组对每个x值的Jn值进行储存.

2、对每个x值采取矩形面积逼近进行计算Jn.原因是是matlab自带的int函数等在n值较大时,难以计算.

3、求出x在对应原函数上的值,并计算其最大误差,并画图.

4、完整的代码如图.

示例
1、对sin(x)在0到4上n=2时的误差与图像如图.


2、对sin(x)在0到4上n=50时的误差与图像如图.

