【微分几何】圆环面上的测地线和短程线
1、在圆环面上画两个点r[a]和r[b],其中:a = {4, 3}; b = {6, 2};

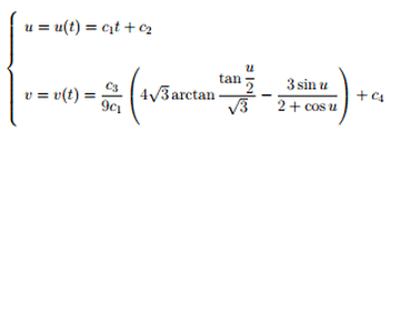
2、通过求解测地线所满足的微分方程组,可以算出圆环面上的测地线的曲纹坐标所满足的关系:

3、根据点的坐标,可以算出常数c1、c2、c3的值,进而画出测地线。

4、画出两点之间的短程线:

5、如果a = {2, 3}; b = {3, 2};

6、如果a = {0, 3}; b = {2, 3};

7、如果a = {2, 3}; b = {2, 5};,那么测地线就不能套用上面的方法,而是变成了:r[{2,v}]其中v从3到5。

8、由a = {3, 3}; b = {2, 4}; c = {2.5, 3};所确定的测地线三角形。
