matlab计算麦克劳林展开式
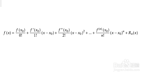
1、函数的泰勒展开式一般是按照公式进行求导然后相加得出的,下面我介绍下使用方法

2、打开matlab软件,然后在命令行上定义符号x,syms x;

3、设置函数y = arctanx,matlab的函数为y=atan(x)

4、函数求arctanx的展开式,,使用taylor(y),求出函数的麦克劳林展开式

5、总结:泰勒展开式首先定义符号syms x;再定义函数,使用taylor()方法求展开式
1、函数的泰勒展开式一般是按照公式进行求导然后相加得出的,下面我介绍下使用方法
2、打开matlab软件,然后在命令行上定义符号x,syms x;
3、设置函数y = arctanx,matlab的函数为y=atan(x)
4、函数求arctanx的展开式,,使用taylor(y),求出函数的麦克劳林展开式
5、总结:泰勒展开式首先定义符号syms x;再定义函数,使用taylor()方法求展开式