正态分布常用公式是什么
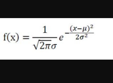
正态分布常用概率计算公式如下:

公式解析:其中μ为均数,σ为标准差。μ决定了正态分布的位置,与μ越近,被取到的概率就越大,反之越小。σ描述的是正态分布的离散程度。σ越大,数据分布越分散曲线越扁平;σ越小,数据分布越集中曲线越陡峭。
正态分布历史发展:
正态分布概念是由法国数学家棣莫弗(Abraham de Moivre)于1733年首次提出的,后由德国数学家Gauss率先将其应用于天文学研究,故正态分布又叫高斯分布,高斯这项工作对后世的影响极大,他使正态分布同时有了“高斯分布”的名称,后世之所以多将最小二乘法的发明权归之于他,也是出于这一工作。
但德国10马克的印有高斯头像的钞票,其上还印有正态分布的密度曲线。这传达了一种想法:在高斯的一切科学贡献中,其对人类文明影响最大者,就是这一项。在高斯刚作出这个发现之初,也许人们还只能从其理论的简化上来评价其优越性,其全部影响还不能充分看出来。
这要到20世纪正态小样本理论充分发展起来以后。拉普拉斯很快得知高斯的工作,并马上将其与他发现的中心极限定理联系起来,为此,他在即将发表的一篇文章(发表于1810年)上加上了一点补充,指出如若误差可看成许多量的叠加,根据他的中心极限定理,误差理应有高斯分布。
这是历史上第一次提到所谓“元误差学说”——误差是由大量的、由种种原因产生的元误差叠加而成。后来到1837年,海根(G.Hagen)在一篇论文中正式提出了这个学说。
其实,他提出的形式有相当大的局限性:海根把误差设想成个数很多的、独立同分布的“元误差” 之和,每只取两值,其概率都是1/2,由此出发,按棣莫弗的中心极限定理,立即就得出误差(近似地)服从正态分布。
拉普拉斯所指出的这一点有重大的意义,在于他给误差的正态理论一个更自然合理、更令人信服的解释。因为,高斯的说法有一点循环论证的气味:由于算术平均是优良的,推出误差必须服从正态分布。
反过来,由后一结论又推出算术平均及最小二乘估计的优良性,故必须认定这二者之一(算术平均的优良性,误差的正态性) 为出发点。但算术平均到底并没有自行成立的理由,以它作为理论中一个预设的出发点,终觉有其不足之处。拉普拉斯的理论把这断裂的一环连接起来,使之成为一个和谐的整体,实有着极重大的意义。