Matlab利用矩阵求线性方程组的通解
1、线性方程组的唯一解: 一般的线性方程组的矩阵形式为AX=b(其中A为系数矩阵,X为未知数的列向量,b为常数项列向量),因此,线性组方程的唯一解为X=b/A。 用Matlab语言来描述上面方程的格式如下:格式:X=inv(A)*b; %利用可逆矩阵 X=A\b; %左除 X=sym(A)\sym(b)
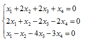
2、齐次方程组的通解: 齐次线性方程组矩阵形式:AX=0; Matlab语言格式:Z=null(A,'r') %Z的列向量是方程组的基础解系如


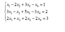
3、非齐次线性方程组 : 非齐次线性方程组的一般形式:AX=b;解方程组如下:


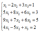
4、超定方程: 超定方程组是方程个数大于未知数个数的线性方程组,只有近似的最小二乘解。 Matlab语言格式:X=pinv(A)*b解超定方程组:

